
Fabricantes de alimentos terão que indicar no rótulo sempre que o produto tiver lactose na composição. A determinação, feita hoje (31) pela Agência Nacional de Vigilância Sanitária (Anvisa), prevê que em 24 meses todos os produtos devem estar dentro da norma.
A declaração da presença de lactose será obrigatória nos alimentos com mais de 100 miligramas (mg) de lactose para cada 100 gramas ou mililitros do produto. Ou seja, qualquer alimento que contenha lactose em quantidade acima de 0,1% deverá trazer a expressão “Contém lactose” na embalagem.
Segundo a Anvisa, o limite de 100 mg foi definido com base na experiência de outros países que já adotam esta regulação, como Alemanha e Hungria. De acordo com a agência reguladora, esse limite tem se mostrado seguro para as pessoas com intolerância à lactose.
A nova regra da Anvisa também permite que os fabricantes de alimentos empreguem a expressão “baixo teor de lactose” nos casos em que a quantidade de lactose for reduzida para valores entre 100 mg e 1 g por 100 g ou mililitros do alimento pronto conforme instruções do fabricante.
Com a instituição dessas regras, o mercado brasileiro de alimentos terá três tipos de rotulagem para a lactose: “zero lactose“ ou “baixo teor”, para os produtos cujo teor de lactose tenha sido reduzido e “contém lactose”, nos demais alimentos com presença da substância.
Apenas os estabelecimentos que preparam os alimentos, sejam eles sem embalagem ou embalados no próprio ponto de venda a pedido do consumidor, não estão obrigados a informar sobre o conteúdo de lactose.
A norma é uma regulamentação decorrente da Lei 13.305 de 2016, que tornou obrigatória a informação da presença de lactose nos rótulos de alimentos.
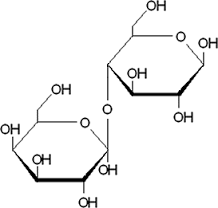
O que é a Lactose?
A lactose é um hidrato de carbono, mais especificamente um dissacarídeo, que é composto por dois monossacarídeos: a glicose e a galactose.
A lactose é o único hidrato de carbono do leite e é exclusiva desse alimento, porque apenas é produzida nas glândulas mamárias dos mamíferos: no leite humano representa cerca de 7,2% e no leite de vaca cerca de 4,7%.
Para ser absorvida, a lactose tem de ser dividida em glicose e galactose e, por isso, todos os mamíferos produzem uma enzima que tem essa função –a lactase.
Os efeitos da intolerância se concentram, de fato, no sistema digestivo. As bactérias da flora intestinal até conseguem devorar algumas das moléculas do açúcar natural do leite, mesmo elas estando inteiras. Quando isso acontece, porém, esses micro-organismos soltam gases. Pronto: o ventre vira um balão, e, então, vêm a dor e toda uma sequência de desordens chatinhas, a exemplo de azia, náusea e eventuais corridas ao banheiro.
(Fonte Agência Brasil)